가우디는 이렇게 말했다. '직선은 인간의 선이고, 곡선은 신의 선이다.'
- 글 컴퓨터공학부 1 안채원
- 편집 에너지자원공학과 3 배승민
서문
우리는 직선 속에서 살고 있습니다. 매일 마주하는 길거리는 네모반듯한 건물들로 가득합니다. 그래도 가끔은 획일화된 모습 속에서 생동감 넘치는 건축물이 보이죠. 그런 건물들은 단순한 구조물이 아니라 예술 작품처럼 느껴지기에, 자연스레 지역의 랜드마크로 자리 잡는 경우도 많습니다. 이런 독특한 건축을 이야기할 때 빼놓을 수 없는 이름이 있습니다. 바로 스페인 바르셀로나에 숨결을 불어넣은 건축가 안토니 가우디입니다. 100여 년 전, 가우디는 현대의 기술 없이도 어떻게 그렇게 역동적인 형태의 건축물을 완성할 수 있었을까요? 이번 '인물은 이렇게 말했다' 기사에서는 자연의 재료와 물리학만으로 시대를 뛰어넘은 안토니 가우디의 비결을 알아보겠습니다.

안토니 가우디
안토니 가우디(Antoni Gaudí i Cornet | Antoni Gaudi, 1852~1926)는 스페인 카탈루냐 출신의 건축가이자 디자이너로, 바르셀로나를 거점으로 활동하며 카탈루냐 모더니즘1) 양식 확립에 지대한 영향을 끼쳤습니다. '자연은 최고의 스승'이라는 격언으로 유명한 그는, 숲의 기둥과 나뭇가지의 형태를 구조에 녹여내는 등 자연 친화적이고 유기적인 형태의 건축물을 남겼습니다.
주물 장인 집안에서 태어나 어린 시절부터 조형에 남다른 관심을 보였던 그는, 첫 대표작인 카사 비센스(Casa Vicens)를 통해 이름을 알리기 시작해서 카사 밀라, 카사 바트요, 구엘 공원, 사그라다 파밀리아 성당 등 바르셀로나를 상징하는 기념비적인 건축물들을 남겼습니다. 그의 작품 중 7개가 현재 유네스코 세계문화유산으로 등재되어 있으며, 오늘날까지도 가우디 건축의 구조적 원리를 탐구하는 학문적 논의가 활발히 이어지고 있습니다.
현수선 아치 : 가우디가 발견한 '신의 선'


두 건물은 동시대에 같은 재료로 지어졌지만, 언뜻 보기에도 서로 매우 다른 형태를 띠고 있습니다. 가우디와 동시대의 건축가 오토 바그너가 건축한 그림 3은 당시 유럽에서 널리 쓰이던 건축 형태를 보여주고 있습니다. 얼핏 보기에도 가우디가 건축한 그림 2보다는 훨씬 직선적이죠. 이에 반해 그림 2에서는 마치 나무 덩굴이 뻗어 나가듯 부드러운 곡선을 관찰할 수 있습니다. 가우디는 왜 이 당시의 보편적인 건축 형태와는 사뭇 다른 형태를 선택했을까요? 그 이유는 스페인의 기후적인 특징과 관련이 있습니다.
바르셀로나처럼 덥고 습한 연안 지역에서는 집 안을 통과하는 바람, 즉 '통풍'이 쾌적한 주거 환경의 핵심 요소였습니다. 따라서 건물 내부에 바람이 자연스레 불 수 있도록 공간을 열어두는 설계가 중요했습니다. 하지만 당시 건축의 주재료였던 돌과 벽돌은 누르는 힘(압축력)에는 강한 반면 당기는 힘(인장력)에는 취약했기에, 공기의 흐름에 최적화된 구조를 구현하기에는 한계가 있었습니다.
가우디는 이 문제를 현수선(Catenary Curve)이라는 특별한 곡선을 건축에 적용하는 방식으로 극복했습니다. 바로 돌과 벽돌을 현수선 형태로 쌓아 올려, 재료가 스스로 압축력을 통해 가해지는 하중을 견디도록 유도한 것입니다. 인장력에 취약한 돌을 쌓고도 무너지지 않는 이 곡선에는 과연 어떤 비밀이 숨겨져 있을까요? 그 핵심 원리를 자세히 살펴보겠습니다.
우선, 현수선이 무엇인지부터 알아보겠습니다. 이름은 어렵게 들리지만, 사실 양쪽 끝을 잡고 끈을 매달았을 때 중력에 의해 자연스럽게 아래로 처지며 만들어지는 아주 익숙한 곡선입니다. 수학적으로는 쌍곡선 코사인 함수라는 식으로 표현되기도 합니다.
17세기 영국의 물리학자 로버트 훅(Robert Hooke)은 이 곡선을 뒤집으면 가장 안정적인 아치 구조가 된다는 사실을 밝혔습니다. 매달린 사슬은 모든 부분에서 줄을 당기는 장력이 곡선의 접선 방향으로 작용하는데, 그 곡선을 그대로 뒤집으면 힘의 방향도 반대로 바뀌어 재료들이 서로 꽉 맞물리는 압축력만 작용하는 구조로 변하게 됩니다. 덕분에 구조물은 한쪽으로 쏠리거나 휠 염려 없이 하중을 효율적으로 버티게 됩니다. 그래서 이 원리를 이용하면 석재를 사용하더라도 휨 모멘트(휘어지려는 힘)가 거의 없는 매우 튼튼한 건축물을 만들 수 있는 것입니다.
이런 원리를 이용한 건축법은 사실 오래전부터 카탈루냐 지방에서 쓰이던 전통 건축 기법이었습니다. 하지만 가우디는 이 방식을 건물 전체로 확장한 것이죠. 그 결과, 그의 건축물은 심미적으로 아름다울 뿐만 아니라 물리적으로도 완벽한 균형을 이루는 곡선으로 탄생했습니다.



가우디의 구조적 해법이 가장 극적으로 발휘된 사례가 바로 그림 4의 카사 밀라입니다. 카사 밀라가 지어진 에이샴플라 지구는 블록 모퉁이의 삼각형 땅이라는 악조건을 가지고 있었습니다. 3면 중 2면이 막혀 있어, 덥고 환기도 잘 되지 않았다고 합니다. 가우디는 현수선 아치 구조를 활용하여 건물 내부에 바람 길을 내었고, 채광과 환기 문제를 해결했습니다.
이후 가우디는 기존의 작품 규모들을 뛰어넘는 초대형 성당 설계를 의뢰받게 됩니다. 그는 평소 고딕 양식의 부벽을 '보기 딱한 목발'이라고 부를 만큼 달갑게 여기지 않았기 때문에, 부벽을 덧붙이지 않으면서도 건물을 안정적으로 세울 방법을 찾고자 했습니다. 이를 위해 앞서 활용한 현수선의 원리를 한 단계 더 발전시켰는데, 이때 탄생한 방식이 바로 '형상 찾기'라는 독창적인 기법입니다.
가우디는 자연스러운 곡선을 3차원 공간에서 구현하기 위해 천장에 여러 갈래의 실을 매달고, 각 지점에 무게가 다른 모래 주머니를 달았습니다. 실제 기둥과 벽이 감당해야 할 하중을 모래 주머니로 시뮬레이션한 것입니다. 그는 이 복잡한 모형 아래에 거울을 두거나 사진을 찍어 뒤집어 보았습니다. 중력이 작용하는 방향을 거꾸로 뒤집으면, 반대로 모든 힘이 압축력으로 작용하여 구조를 단단히 고정하는 이상적인 아치 구조가 완성되기 때문입니다.

가우디는 이 실험을 통해 2차원의 현수선을 3차원으로 확장시켰고, 이렇게 얻어진 곡면을 현수면(Catenary Surface)이라고 부릅니다.
현수면은 사실 우리 주변에서도 쉽게 찾아볼 수 있습니다. 그 대표적인 예가 바로 비눗방울의 비누막입니다. 철사 틀을 비눗물에 담갔다 빼면 얇은 비누막이 형성되는데, 이 막은 표면적을 최소화하며 스스로 가장 안정적인 형태를 찾아갑니다. 이 매끄럽고 얇은 막은 수학적으로 평균 곡률이 0인 곡면이라는 특징을 지닙니다.
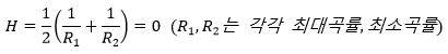
여기서 곡률이란, 곡면이 휘어 있는 정도를 말합니다. 곡면 위의 한 점에서는 무수히 많은 방향으로 휘어 있을 수 있지만, 수학자들은 가장 많이 휜 방향의 곡률(최대 곡률)과 가장 적게 휜 방향의 곡률(최소 곡률)을 골라 그 평균으로 곡면의 성질을 설명합니다. 이 값이 바로 평균 곡률(mean curvature)입니다.
평균 곡률이 0이 되려면, 두 곡률 R_1과 〖 R〗_2의 부호가 서로 반대이고 크기가 같아야 합니다. 즉, 한쪽으로 볼록하게 휘어지면 다른 쪽은 오목하게 휘어지는 형태여야 하죠. 그래서 평균 곡률이 0인 곡면은 말안장이나 프링글스 과자처럼 한쪽은 위로, 다른 한쪽은 아래로 휘어져 서로 힘의 균형을 이루고 있다는 뜻이라는 것을 알 수 있습니다.
가우디가 주목한 것도 바로 이 자연의 균형이었습니다. 비눗방울이 아무 외부 도움 없이 스스로 가장 안정적인 형태를 찾듯, 그는 건축물 또한 자연이 계산해낸 수학적 균형 속에서 완성되기를 바랐습니다.
사그라다 파밀리아 : 가우디와 현대 기술의 합작
앞서 살펴본 가우디의 건축 기술과 철학은 전 세계가 주목하는 걸작을 만들어 냈는데요. 바로 그의 유작이자, 착공 후 140년이 지난 지금도 지어지고 있는 사그라다 파밀리아(Sagrada Família) 대성당입니다.
앞서 살펴본 거울 속의 허상은, 이 성당 내부에서 거대한 숲처럼 솟은 기둥이 되어 현실에 구현되었습니다. 컴퓨터가 없던 시절, 가우디는 오직 아날로그 실험만으로 완벽한 역학적 구조를 계산해낸 셈입니다.

이 성당은 스페인 바르셀로나에 위치한 가톨릭 대성전으로, 전통적인 고딕 양식을 계승하면서도 가우디 특유의 유기적 형태와 수학적 디자인이 결합된 결정체입니다. 엄청난 규모와 정밀성을 요하는 만큼, 가우디가 세상을 떠난 뒤에도 이 거대한 건축은 계속 진화하는 중입니다. 오늘날에는 첨단 기술이 그의 손이 닿지 못한 빈자리를 채우며 완성을 돕고 있죠.
우선 3D 프린터 기술 덕분에, 가우디가 직접 제작했던 석고 모형을 단 몇 시간 만에 재현할 수 있게 되었습니다. 이 모형들은 스페인 내전 당시 1만여 조각으로 파손되었지만, 디지털 스캔으로 복원된 후 3D 프린팅을 통해 이전과 동일한 모습으로 다시 제작되어 성당 곳곳에 반영되고 있습니다.
또한 VR(가상현실) 기술은 계절과 시간대에 따른 태양의 위치를 계산하고, 스테인드글라스를 통과한 빛이 성당 내부를 어떻게 물들일지 실시간으로 확인할 수 있도록 했습니다. 가우디가 중요하게 여겼던 빛의 움직임을 그의 의도대로 되살려내고 있는 것입니다.
마지막으로, 초대형 첨탑의 무게 문제를 해결하기 위해 프리스트레스 석재 공법2)이 도입되었습니다. 이 공법은 돌 내부에 금속을 삽입해 압축력을 미리 가하는 방식으로, 강도를 높이면서도 가벼운 석재를 만들 수 있습니다. 이를 통해 공장에서 정밀하게 가공된 돌을 현장에서 레고처럼 조립할 수 있게 되면서, 구조적 안정성과 시공 속도를 동시에 향상시킬 수 있었습니다.
그 결과, 현재 사그라다 파밀리아는 정밀 절단과 1mm 단위의 조립식 석재 시스템을 통해 마치 거대한 레고를 조립하듯 시공이 이루어지고 있습니다. 과거의 천재성과 현대의 기술이 만난 사그라다 파밀리아는 가우디 사망 100주기를 맞는 2026년, 마침내 그 웅장한 모습을 완성할 예정입니다.
결론
"모든 것은 자연이 써 놓은 위대한 책을 공부하는 데서 태어난다. 인간이 만들어 내는 작품은 모두 이 위대한 책에 쓰여 있다. 이 책은 전 인류에게 주어져 있으나, 이것을 읽는 데는 노력이 필요하며 또 노력을 기울이기에 합당한 책이다."
산업혁명으로 시대의 흐름이 대량생산의 방향으로 흘러갈 때에도, 가우디는 손으로 만들어내는 정교함과 자연스러운 질서를 고집했습니다. 그는 단순히 오래된 전통을 유지하기만 한 것이 아니라, 과거의 기술을 새로운 가치로 재해석하는 방식으로 새로운 건축의 시대를 열었습니다.
다양한 과학 기술이 발전하는 현대사회에서도 '아날로그'가 다시 주목받는 이유는, 그 정신이 여전히 유효하기 때문이 아닐까요? 과학의 세계에서도 가우디의 시도와 닮은 움직임이 이어지고 있습니다.
자연의 원리를 기술에 적용하려는 생체 모사 공학(biomimetics), 자연의 형태에서 아이디어를 얻는 생체 영감 설계(bioinspiration) 같은 연구들이 그 예입니다.
가우디가 그랬듯, 자연의 법칙을 이해하고 새로운 형태로 구현하려는 노력은 오늘날에도 여전히 중요한 의미가 있습니다. 풀리지 않는 문제의 실마리는, 어쩌면 자연에서 찾을 수 있지 않을까요?
참고
- 1) 보통 '모더니즘' 건축이라고 하면 콘크리트로 된 네모난 상자처럼 장식 없이 심플하고 효율적인 건물을 떠올리기 쉽습니다. 하지만 가우디가 이끌던 카탈루냐 모더니즘은 이와 정반대였습니다. 공장에서 찍어낸 듯한 차가운 직선 대신, 자연을 닮은 곡선과 화려한 수공예 장식으로 건물의 생명력을 살리려 했던 카탈루냐 고유의 예술 운동입니다.
- 2) 돌 속에 강철 케이블을 넣고 팽팽하게 당겨 고정하는 공법입니다. 이렇게 하면 돌들이 서로 꽉 밀착되어 강풍이나 흔들림에도 부러지지 않고 견딜 수 있습니다.
참고 문헌
그림 출처
- 그림1. https://namu.wiki/w/%EC%95%88%ED%86%A0%EB%8B%88%20%EA%B0%80%EC%9A%B0%EB%94%94
- 그림2. https://pixabay.com/ko/photos/%eb%b0%94%eb%a5%b4%ec%85%80%eb%a1%9c%eb%82%98-%ec%8a%a4%ed%8e%98%ec%9d%b8-%ea%b0%80%ec%9a%b0%eb%94%94-5134589/
- 그림3. https://namu.wiki/w/%EC%98%A4%ED%86%A0%20%EB%B0%94%EA%B7%B8%EB%84%88?uuid=5b8521f8-d66e-4f74-bdbc-c7b87373d6db
- 그림4. 현수선의 예시 https://ko.wikipedia.org/wiki/%ED%98%84%EC%88%98%EC%84%A0
- 그림5. https://next-archi.tistory.com/28
- 그림6. https://next-archi.tistory.com/28
- 그림7. https://blog.naver.com/nemathcube/220535546177
- 그림8. https://namu.wiki/w/%EC%82%AC%EA%B7%B8%EB%9D%BC%EB%8B%A4%20%ED%8C%8C%EB%B0%80%EB%A6%AC%EC%95%84%20%EB%8C%80%EC%84%B1%EB%8B%B9