삼체 항성계는 계획대로 되지 않아
- 소설 '삼체 1: 삼체문제' -
방금 문장을 보고 "SF 소설이라니, 주제가 너무 식상해!"라고 생각하셨나요?
'외계인의 침략에 맞서는 지구인'이라는 설정은 외계인 SF 소설의 클리셰로 여겨지죠. 침략하는 이유도 뻔합니다. 살던 행성의 환경 파괴가 심각해서, 별의 수명이 다해서… 이러한 이유로, 저도 SF 소설이 조금은 진부하다고 생각했습니다. 「삼체」를 읽기 전까지는요! 오늘 소개할 소설 「삼체」는 진부한 클리셰를 흥미로운 설정으로 보완해 공학도의 심장을 두근거리게 하는 소설입니다. 이제부터 소설 안팎을 넘나들며, 소설에 담긴 과학적 개념들을 함께 살펴봅시다!
외계인이 지구에 침략한 이유? - 삼체문제, 카오스
공대상상 독자 여러분은 '삼체 문제'를 들어보셨나요? 삼체 문제란 임의의 세 행성이 존재할 때, 이들 간 중력의 작용과 궤도의 양상을 밝히는 문제입니다. 뉴턴이 최초로 언급한 이 문제는 18세기부터 물리학 분야의 난제였습니다. 간단하게 해결되는 이체 문제1)와 달리 행성이 하나 추가됐다는 이유로 무지막지한 문제가 탄생한 것이죠.2) 소설의 제목 「삼체」도 이 삼체 문제에서 나온 것입니다.
소설 「삼체」 속 외계인인 '삼체인'이 사는 '삼체 행성'은 세 개의 태양을 가지는데요. 이 태양들이 생명체가 살기에 매우 혹독한 환경을 만듭니다. 태양들의 움직임에 주기성이 없어 낮과 밤의 길이가 매일 다르고, 계절도 순환하지 않죠. 만약 우연이 겹쳐 하늘에 3개의 태양이 뜬다면, 날씨가 극도로 뜨거워져 세상이 녹아내리고, 강한 중력의 영향으로 행성의 모든 것이 하늘로 날아가 버릴 것입니다.
이러한 환경 때문에 삼체 행성에선 문명이 안정적으로 성장할 수 없었습니다. 이에 새로운 문명이 생기고 없어지길 수천 번 반복했죠. 물론 삼체인도 진화를 거듭하며 무작위적인 환경에 어느 정도 적응했지만, 세 개의 태양이 뜨는 재앙은 도저히 대처할 수 없었습니다. 그래서 작중에선 태양들의 움직임을 예측하려는 문명들의 시도를 보여줍니다. 물론 모두 실패했지만, 자연을 예측하려던 그들의 간절함은 잘 드러났죠.
수많은 문명이 명멸하는 동안 극복하지 못했다니, 삼체 문제 해결의 어려움이 느껴지시나요? 여기엔 크게 두 가지 특징이 작용했다고 볼 수 있습니다. 먼저, 삼체 문제엔 일반해가 존재하지 않습니다. 계산 과정이 너무 복잡해 비실용적인 일반해를 제외하고는 말이죠. 그 때문에 나사(NASA), 한국항공우주연구원 등 천체나 인공위성의 궤도를 예측해야 하는 연구기관에서는 컴퓨터를 이용해 방정식의 해를 적절히 근사하는 방법을 활용하고 있습니다. 다음으로, 삼체 문제는 주어진 상황이 조금만 달라져도 전혀 다른 답이 도출된다는 특징이 있습니다. 이렇게 초기 조건에 민감한 결과를 갖는 상황을 물리학 용어로 '카오스'라고 일컫는데요, 흔히 말하는 나비 효과3)가 카오스의 예시라고 할 수 있죠. 나비의 날갯짓과도 같은 작은 오차로도 삼체 문제의 답은 전혀 다른 값을 갖습니다. 심지어 컴퓨터로 연산하더라도 이런 문제를 완전히 극복하기란 어려운데요, 컴퓨터의 한정된 메모리 때문에 아주 작은 오차가 필연적으로 발생하기 때문이죠. 소설에서도 한 문명이 컴퓨터를 만들어 궤도를 예측하려고 시도했으나, 여지없이 실패하는 장면이 나옵니다.
결과적으로 삼체인은 태양의 움직임을 예측하는 데 실패했습니다. 하지만 다행히도, 가까운 거리에서 태양이 하나뿐인 행성인 지구를 발견했기에 머리 아픈 문제를 계속 붙잡고 있을 이유가 없어졌죠. 겨우 4광년4)만 이동하면 되거든요!
외계인이 지구인의 과학 실험을 방해하는 이유 - 무어의 법칙
앞에서 가까운 것처럼 표현했지만, 사실 4광년은 매우 먼 거리입니다. 우주선을 빛의 1% 속도로 가속할 수 있는 기술력을 가진 삼체인도 도착까지 400년이 넘게 걸린다는 사실에 골치 아파 하죠. 그 긴 세월 삼체인은 지구인의 발전을 막기 위해 연구, 특히 과학 연구를 집중적으로 방해합니다. 연구자의 시야를 교란하거나 실험 결과를 훼손하는 것부터 전 세계 사람들의 전자기기를 먹통으로 만드는 등 다양한 방법을 사용하죠.
여기서 한 가지 의문이 생깁니다. 삼체인은 지구인보다 월등한 기술력을 가졌는데도, 왜 지구인들의 발전을 막으려고 애쓸까요? 이를 이해하기 위해선 앞서 언급한 삼체 행성과 지구를 비교할 필요가 있습니다. 카오스적인 기후를 지닌 삼체 행성과 달리, 안정적인 기후를 지닌 지구에선 발전이 꾸준하게 이뤄집니다. 즉, 삼체인은 인류가 지구같이 안정적인 환경에서 가까운 미래에 자신들의 기술을 뛰어넘을 정도로 발전할 것이라고 예측한 것입니다.
한 가지 무서운 점은 이것이 공상과학 소설만의 이야기가 아닐 수 있다는 것입니다. 예를 들어, 반도체 분야에는 '무어의 법칙'이라는 것이 있습니다. 무어의 법칙은 반도체에 집적되는 트랜지스터 수가 18개월마다 2배씩 증가한다는 법칙으로 인류의 기술이 1900년대부터 지수적으로 빠르게 발전하고 있음을 의미합니다.5) 따라서 지구와 4광년 떨어진 곳에서 출발한 삼체인이 지구에 도착할 때쯤이면 지구의 기술이 삼체인의 기술을 뛰어넘을 것으로 예측할 수 있었던 것이죠.
지구인의 반격 - 우주 돛단배
소설 「삼체」는 SF 소설인 만큼 작가의 상상력이 더해진 다양한 기술이 등장하는데요, 그중에서도 가장 인상 깊었던 기술은 지구인이 만든 '우주 돛단배'였습니다. 마치 해적선의 돛을 연상시키는 이 우주선은 작중에서 핵폭탄을 이용해 추진합니다. 특정한 위치에 설치된 핵폭탄들을 차례로 폭파해 그 폭발력으로 기체를 점진적으로 가속하죠. 지구의 과학기술을 압도하는 외계인이 침공하더라도 최선을 다해 맞서는 지구인의 모습이 처절하면서도 감동적으로 다가왔습니다. 그런데, 현실에서도 이와 비슷한 기술이 개발되고 있다는 사실을 알고 계셨나요?
소설에서는 핵폭탄의 폭발 에너지를 이용해 추진하는 우주 돛단배가 나왔다면, 현실에는 태양광의 운동에너지를 이용해 추진하는 우주 돛단배가 있습니다. NASA에서 개발 중인 이 우주선은 태양광이 패널에 반사될 때 전해지는 충격량을 이용해 앞으로 나아가는 방식으로, 연료를 거의 싣지 않기 때문에 상당히 가볍습니다.6) 덕분에 로켓 하나에 여러 대의 장치를 실을 수 있어 경제성을 높일 수 있죠. 여기서 한 가지 의문이 생기는데요. 빛을 반사해서 운동량을 얻을 수 있는 원리가 무엇일까요?
이는 조금 어려운 개념이지만, 잘 알려진 공식들을 이용해 간단히 살펴봅시다. 우리는 우선 아인슈타인의 질량-에너지 동등성 공식'E=mc2(m:질량, c:빛의 속도)'과 운동량 공식'p=mv(m:질량, v:속도)'을 사용해 에너지(E)를 운동량으로 나타낼 수 있는데요. 자세한 과정은 다음 그림과 같습니다.
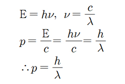
다음으로 아인슈타인이 광전 효과를 설명하기 위해 만든 공식 'E=hv(h:플랑크 상수, ν∶빛의 진동수)'과 빛의 진동수, 파장 관계 'v=c/λ(c:빛의 속도, λ:빛의 파장)'를 이용하면 아래 그림과 같이 'p=h/λ'로 나타낼 수 있고, 빛은 돛에 반사되며 반대 방향으로 날아가는 것을 고려하면 총 '2p=2 h/λ'만큼의 운동량이 돛에 전달됩니다.
그런데 이러한 방식으로 추진하려면 우주선이 가볍고 표면적이 넓어야 합니다. 앞에서 구한 운동량 '2p=2 h/λ'을 보면, 식에 들어가는 플랑크 상수(h)의 값이 매우 작아(6.62607015 × 10-34 [J·s]) 돛이 얻는 운동량이 상당히 작다는 것을 알 수 있습니다. 따라서 우주선이 아주 가볍고 표면적이 넓지 않은 이상 유의미한 가속을 하기 어렵습니다. 그래서 가볍고 강한 나노 섬유를 이용해 돛단배 같은 모양을 만든 있는 것이죠.
태양이 3개인 것에서 비롯된 카오스적인 환경에 지쳐 행성을 떠난 외계인, 지구의 기하급수적인 기술 발전에 대한 외계인의 두려움, 머지않아 현실이 될 것 같은 지구인의 기술 등 소설 「삼체」는 기존 외계인 SF 소설의 진부한 요소를 과학적 상상력을 자극하는 소재로 보완해 공대생의 가슴을 설레게 합니다. 게다가 작가의 치밀한 전개 능력까지 합쳐져 아시아 소설 최초로 휴고상을 받으며 그 가치를 인정받았죠. 개인적으로 이 소설을 읽으며 '페르미의 역설', '어둠의 숲 가설' 등 유튜브에서 본 외계인 관련 영상들이 많이 떠올라 더욱 재밌었습니다. 우주에 관심이 많은 독자 여러분께 추천드려요!
참고 문헌 및 용어 설명
1) 이체 문제: 삼체문제와 비슷하게, 두 행성에 관하여 중력의 작용과 궤도의 양상을 밝히는 문제
2) 유용하. "얽히고설키는 3개의 중력…뉴턴도 두손 두발 든, 난제 중의 난제 '삼체문제'". 서울신문. 4 April 2024. https://m.eye.seoul.co.kr/news/society/science-news/2024/04/04/20240404019001?cp=go. 19 July 2024.
3) 나비 효과: 나비의 날갯짓같이 아주 작은 차이가 미래에 예상하지 못한 엄청난 결과로 이어지게 되는 현상
4) 광년: 빛이 자유 공간 속을 1년 동안에 가는 거리
5) 국가나노기술정책센터. https://www.nnpc.re.kr/bbs/board.php?bo_table=02_01_02&wr_id=70&sca=%EB%82%98%EB%85%B8%EC%A0%84%EC%9E%90. 19 July 2024.
6) 이병구. "태양빛 받아 항해하는 우주 돛단배 24일 우주로". 동아사이언스. 19 April 2024. https://m.dongascience.com/news.php?idx=64952. 19 July 2024.
그림 출처
그림1. 알라딘, https://www.aladin.co.kr/m/mproduct.aspx?ItemId=289126579. 19 July 2024.
그림2. Richard Montgomery. "The Three-Body Problem". Scientific American. 1 August 2019. https://www.scientificamerican.com/article/the-three-body-problem/. 19 July 2024.
그림3. Douglas Herz. "A Century of Moore's Law". Semianalysis. 4 FEB 2023. https://www.semianalysis.com/p/a-century-of-moores-law. 19 July 2024.
그림4. GRACE NEHLS. "NASA launches composite solar sail into space". Compositesworld. 23 April 2024. https://www.compositesworld.com/news/nasa-launches-composite-solar-sail-into-space. 19 July 2024.