우리 몸에서 포도당이 차지하는 중요한 역할을 알고 계시나요? 우리 몸속 세포가 작용하기 위해서는 열량을 공급해야 하는데 세포에 공급되는 영양소의 분해 산물을 포도당이라고 합니다.
체내의 포도당이 정상 수치 이하로 감소하는 것을 저혈당증이라 하는데 저혈당 상태가 되면 뇌 신경계가 에너지 부족을 느끼고 신체의 자율신경계가 작동하여 여러 이상 증상이 발현되곤 합니다.
이처럼 글루코스(glucose)라고도 부르는 포도당은 광합성과 세포 호흡의 기본 반응물이자 생성물로, 생명 활동에 깊이 관여하는 물질입니다.
그림 1. 광합성과 세포 호흡에 관여하는 포도당
그런데 포도당이 왜 ‘포도’당이라고 불리는지 궁금했던 적 없으신가요? 호기심 많은 학생은 어릴 적 과학 선생님께 ‘포도당은 포도에 들어있는 건가요?’ 와 같은 질문을 했을지도 모릅니다.
포도당은 모든 생물이 공유하는 물질인 만큼 포도와 특별히 연관된 것은 아닙니다.
다만 포도당을 처음 발견한 독일의 화학자 안드레아스 마그라프(Andreas Marggraf)가 건포도로부터 포도당을 추출했기 때문에 이런 이름을 붙였다고 합니다.
그림 2. 당의 농도에 따른 베네딕트 용액의 색
공대상상의 이번 호에서는 마그라프가 그랬듯 포도 속 포도당을 직접 확인해 보고자 합니다.
다행히 우리에게는 포도당의 존재를 확인할 쉬운 방법이 있습니다. 바로 베네딕트 용액을 사용하는 것입니다.
베네딕트 용액은 대표적인 탄수화물 검출 시약인데요, 시트르산나트륨과 탄산나트륨을 물에 녹인 후 황산구리를 첨가하여 만들어집니다.
포도당이 포함된 용액에 베네딕트 용액을 섞으면 당의 농도에 따라 적갈색에서 황록색 사이의 색이 나타납니다.
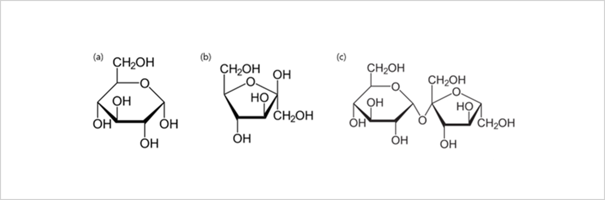
그림 3. 포도당, 과당, 설탕의 분자 구조식
베네딕트 용액은 두 가지 원리를 이용하여 당을 검출합니다. 먼저 첫 번째 원리는 구리 이온의 성질입니다.
구리는 전이금속1이기 때문에 다양한 산화수를 가질 수 있는데, 수용액 상태에서 2가 이온(Cu2+)은 푸른색, 1가 이온(Cu+)은 갈색을 띱니다.
두 번째 원리는 포도당을 비롯한 단당류2의 특성입니다. 포도당의 분자 구조식은 [그림 3a]와 같은데요, 포도당의 알데하이드기3 가 Cu2+를 Cu+로 환원시킬 수 있습니다.
[그림 3b]와 같은 구조의 과당도 마찬가지의 성질을 지닙니다. 포도당, 과당처럼 환원제로 작용할 수 있는 당은 환원당이라고 부르며, 베네딕트 반응으로 검출할 수 있습니다.
이들과 달리 [그림 3c]의 설탕은 알데하이드기가 없어 환원당에 포함되지 않고, 베네딕트 반응을 일으키지 않습니다.
포도와 같은 과일에 포함된 당은 포도당, 과당, 설탕이 대부분이라고 알려져 있는데요, 베네딕트 용액을 사용하면 두 단당류의 존재 여부를 확인할 수 있습니다.
그럼, 포도에서 직접 베네딕트 반응을 확인해 보도록 하겠습니다. 준비물은 포도알, 베네딕트 용액, 일회용 스포이트 3개, 20ml 비커 2개, 500ml 비커, 반투과성 막입니다. 본 기사에서는 베네딕트 반응의 색 변화를 확인하기 쉽도록 색이 연한 샤인 머스캣을 사용했습니다.
그럼, 포도에서 직접 베네딕트 반응을 확인해 보도록 하겠습니다. 준비물은 포도알, 베네딕트 용액, 일회용 스포이트 3개, 20ml 비커 2개, 500ml 비커, 반투과성 막입니다. 본 기사에서는 베네딕트 반응의 색 변화를 확인하기 쉽도록 색이 연한 샤인 머스캣을 사용했습니다.
1 주기율표에서 3족~12족에 해당하는 원소로, 전자 오비탈의 특성 때문에 양이온으로 쉽게 이온화되어 화합물을 형성한다.
2 탄수화물의 기본 단위.
3 -CH=O 구조의 작용기.
그림 4. 포도알(a)과 으깨진 포도알(b)
그림 5. 여과지에 거른 포도즙
일단 포도알을 으깨 내용물을 꺼내 주었습니다. 포도에는 실험으로 확인하고 싶은 단당류 외에도 과육을 이루는 섬유, 포도의 대사와 관련한 단백질 등이 섞여 있습니다.
관심 대상이 아닌 물질을 제거하기 위해 으깬 포도와 즙을 여과해 주었습니다. 여과를 위해 여과지를 원통 모양으로 접어 포도즙을 통과시켰습니다.
[그림 5]는 여과지에 통과시킨 포도즙의 모습입니다. 과육 조각 등이 걸러진 것을 볼 수 있습니다. 여과지로는 거를 수 없는 작은 섬유 조각 등이 여전히 남아 있기 때문에 탁한 색을 띱니다.
[그림 5]는 여과지에 통과시킨 포도즙의 모습입니다. 과육 조각 등이 걸러진 것을 볼 수 있습니다. 여과지로는 거를 수 없는 작은 섬유 조각 등이 여전히 남아 있기 때문에 탁한 색을 띱니다.
그림 6. 반투과성 막에 거른 포도즙
[그림 6]은 여과지에 반투과성 막을 설치하여 다시 여과시킨 포도즙의 모습입니다.
반투과성 막을 통과할 수 있는 분자의 크기는 구조에 따라 조금 차이가 있지만, 실험에 사용된 반투과성 막의 경우 약 1만 Da4이 경곗값이므로 분자량이 약 180g/mol인 포도당과 과당은 통과하되 기준치 이상의 고분자 물질은 제거되었을 것입니다.
단당류의 존재를 확인하기 위해 베네딕트 용액을 첨가해 봅시다.
4 원자 질량 단위. 1Da(돌턴) = 1g/mol 이다.
그림 7. (a) 베네딕트 용액을 첨가한 포도즙 (b) 베네딕트 용액을 첨가하고 가열한 포도즙
두 번 여과한 포도즙 1ml를 다른 비커에 옮기고 물을 4ml 첨가하여 희석했습니다. 다음으로 베네딕트 용액 0.5ml를 첨가해 보았습니다.
첨가 직후에는 반응이 일어나지 않아 베네딕트 용액의 색인 푸른색입니다.
상온에서도 충분한 시간을 두면 환원 반응이 일어나지만, 반응 속도를 높이기 위해 비커를 가열하였습니다.
200ml 비커에 정수기 온수를 담아 20ml 비커를 넣고 5분간 중탕한 결과, [그림 7b]처럼 용액이 노란색으로 변한 것을 관찰할 수 있었습니다.
그림 8. HPLC를 통해 서로 다른 종류의 당을 식별하기
그림 9. 여과지의 끝을 물에 담근 모습
포도에서 베네딕트 반응을 확인했지만, 용액 속에는 과당과 포도당이 함께 혼합되어 있기 때문에 혼합물 속 포도당을 확실히 분리할 수는 없을까 하는 아쉬움이 남았습니다.
그래서 실험을 하나 더 해 보기로 했습니다. 과일에 포함된 당의 식별에 관해 조사해 본 결과, HPLC5 와 같은 전문적 방법을 이용하면 [그림 8]처럼 포도 속 여러 종류의 당을 식별할 수 있다고 합니다.
크로마토그래피를 활용하면 분자량이 2배 정도 차이가 있는 설탕과 단당류를 분리할 수 있을 것이라는 아이디어를 적용해 보았습니다.
5 고성능 액체 크로마토그래피.
크로마토그래피는 혼합물을 분리하는 기법으로, 혼합물의 각 물질이 이동상을 따라 고정상 사이를 이동할 때 속도 차이를 이용합니다.
이때 혼합물의 성분마다 이동 속도가 다른 것은 성분마다 이동상과 고정상에 결합하려는 정도가 다르기 때문입니다. 우리 실험에서는 고정상으로 여과지, 이동상으로 물을 사용하여 포도즙이라는 혼합물을 분리해 보았습니다.
먼저 여과지를 가늘게 자르고 끝에 가까운 한 지점을 설정하여 포도즙을 한 방울 떨어트렸습니다. 그리고 헤어드라이어를 사용하여 용액이 번지기 전에 말리는 것을 여러 번 해 줍니다.
이후 여과지를 [그림 9]와 같이 수직으로 세워 끝을 물에 담가 줍니다. 물이 여과지를 따라 흡수되도록 15분간 둔 후, 여과지를 꺼내 다시 말려 줍니다.
그림 10. 물에 담근 후 말린 여과지의 모습
그림 11. 크로마토그래피를 적용한 후 베네딕트 반응을 일으킨 여과지
마지막으로 베네딕트 용액을 여과지에 적시고 헤어드라이어로 가열하면서 말려 줍니다.
[그림 10]에서 단당류와 타 물질의 이동 속도 차이로 인해 여과지의 위쪽 부분만이 노란색을 띠는 것을 볼 수 있습니다.
단당류가 정지상인 여과지에 붙잡히는 정도가 다른 물질보다 작기 때문에 이동상인 물을 따라 많이 이동했다고 분석할 수 있습니다.
따라서 여과지에서 노란색을 띠는 부분이 포도당임을 알 수 있습니다.
이처럼 초보적인 실험 장비로도 포도 속 포도당의 존재를 확인할 수 있었습니다. 포도에 포도당이 들어 있다는 것은 어찌 생각하면 당연하지만, 글로만 배우던 사실을 직접 알아보는 과정에도 나름의 보람과 즐거움이 있습니다. 독자 여러분도 지식을 자기 손으로 검증하고 시행착오를 거치는 일을 즐길 수 있는 공학도로 성장해 나가기를 바랍니다.
이처럼 초보적인 실험 장비로도 포도 속 포도당의 존재를 확인할 수 있었습니다. 포도에 포도당이 들어 있다는 것은 어찌 생각하면 당연하지만, 글로만 배우던 사실을 직접 알아보는 과정에도 나름의 보람과 즐거움이 있습니다. 독자 여러분도 지식을 자기 손으로 검증하고 시행착오를 거치는 일을 즐길 수 있는 공학도로 성장해 나가기를 바랍니다.
- 자료출처
- 그림 8. Brushwood, Donald, “Modification of the Potassium Ferricyanide Reducing Sugar Test for Sugars from Extracts of Cotton Fiber”, Journal of Cotton Science, 4, 202-209 (2000).
