우리 주변의 모든 공간들은 건축가가 오랜 시간 동안 고민해서 만들어진 결과물입니다. 건축에서 불합리한 공간은 절대로 존재하지 않기 때문에 모든 공간들은 그 필요성과 당위성을 가지고 설계됩니다. 건축가는 건축물의 외관부터, 인테리어, 사람들의 동선, 채광, 환기 시스템, 온도 조절 시스템 등 공간을 구성하는 모든 요소들을 통제하고 설계합니다. 그렇기 때문에 건축학과에서는 단순히 건축물의 역학적인 구조뿐만 아니라 디자인, 건축사, 건축재료역학, 시공1 방법 등을 자세히 배우는데요. 이번에는 건축학과의 가장 중요한 설계수업인 ‘기초스튜디오’ 를 중심으로 다른 전공과목과 함께 건축학과를 소개해보려고 합니다.
그림 1. 반포 한강 공원 사이트 현장 답사
1. 기초스튜디오
매 학기마다 개설되는 ‘기초스튜디오’ 수업은 전공필수 과목 중 가장 중요한 수업이라고 할 수 있습니다. 전반적인 건축 설계 과정을 배우며, 각 학기마다 새로운 프로젝트를 하게 됩니다. 매 수업 마다 자신이 설계한 구상을 가지고 교수님에게 발표하여 평가를 받는 방식으로 수업이 진행됩니다. 저번 2019년 2학기 기초스튜디오 수업에서는 ‘반포 한강 공원에 새롭게 지어지는 공간’이라는 주제가 주어졌습니다. 건축 설계가 이루어지는 대상지를 ‘사이트(site)’ 라고 부르는데, 지난 프로젝트의 사이트가 한강공원이었기 때문에 교수님과 한강으로 주기적으로 답사를 다녀왔답니다. 건축 설계 과정에서는 직접 건물을 보면서 공간과 주변환경 간의 어울림을 생각해야 하고, 자연환경 및 사람들의 접근성도 파악해야 하기 때문에 자주 현장 답사를 하게 됩니다.
매 학기마다 개설되는 ‘기초스튜디오’ 수업은 전공필수 과목 중 가장 중요한 수업이라고 할 수 있습니다. 전반적인 건축 설계 과정을 배우며, 각 학기마다 새로운 프로젝트를 하게 됩니다. 매 수업 마다 자신이 설계한 구상을 가지고 교수님에게 발표하여 평가를 받는 방식으로 수업이 진행됩니다. 저번 2019년 2학기 기초스튜디오 수업에서는 ‘반포 한강 공원에 새롭게 지어지는 공간’이라는 주제가 주어졌습니다. 건축 설계가 이루어지는 대상지를 ‘사이트(site)’ 라고 부르는데, 지난 프로젝트의 사이트가 한강공원이었기 때문에 교수님과 한강으로 주기적으로 답사를 다녀왔답니다. 건축 설계 과정에서는 직접 건물을 보면서 공간과 주변환경 간의 어울림을 생각해야 하고, 자연환경 및 사람들의 접근성도 파악해야 하기 때문에 자주 현장 답사를 하게 됩니다.
1 건축물의 공사를 실제로 하는 과정
사이트 답사를 한 뒤 학생들은 각자 자신의 컨셉을 구상하고, 각자 다양한 방법으로 자신의 생각들을 확장해 나갑니다. 이때, 학생들이 가장 많이 사용하는 방법이 바로 스케치입니다. 건축학과는 공과대학에서 독보적으로 그림을 많이 그리는 학과로서, 학교를 다니는 동안 수많은 도면들과 다이어그램2 들을 그리게 됩니다. 자신의 생각을 가장 쉽고 명확하게 표현할 수 있는 방법이 스케치인 만큼 교수님들이 수업을 통해 스케치에 대한 노하우를 많이 알려주십니다.
그림 2. 손으로 직접 그린 도면들
2 다양한 정보들을 묘사하여 표나, 간단한 그림 등 2차원 기하학적인 모델로 나타낸 것. 건축에서는 주로 설계 발전 과정과 주변 건물관의 위치 관계를 설명할 때 쓰입니다.
도면을 구상하면서 실제 모델의 공간 구성 방법을 생각할 수 있기 때문에 도면을 제작하는 과정은 설계에서 아주 중요한 과정입니다. 그림2처럼 직접 손으로 제작할 수도 있고, 3D툴과 일러스트레이터(Illustrator)라는 프로그램을 사용하여 제작할 수도 있습니다.
그림 3. 건축물 설계 도면 일러스트
스케치와 도면의 구상이 끝나면, 더 효율적인 방법으로 공간을 표현하기 위해 다양한 디자인 툴을 사용하게 됩니다. 그 중 가장 대표적인 것이 3D 디자인 툴인 ‘Rhino3D’ 프로그램입니다. 3D 디자인 툴과 렌더링 툴을 사용해서 최대한 현실과 가깝게 공간을 구현해내고, 설계를 발전시키는 과정을 끊임없이 거칩니다.
그림 4. 반포한강공원 설계 렌더링 모습
그리고 설계 과정은 모델을 만드는 것으로 마무리됩니다. 실제 크기를 적절한 크기로 축소시켜 모델을 만들게 되는데, 우드락부터 MDF(Medium Density Fiberboard) 3, 석고 등 다양한 재료를 이용합니다. 직접 칼로 우드락을 잘라서 만들거나, 레이저 커팅기를 이용하여 가공하기도 하고, 3D프린터를 이용해서 작은 부품을 제작하기도 합니다.
3 다양한 정보들을 묘사하여 표나, 간단한 그림 등 2차원 기하학적인 모델로 나타낸 것. 건축에서는 주로 설계 발전 과정과 주변 건물관의 위치 관계를 설명할 때 쓰입니다.
그림 5. 실제 모델들과 사진의 꼴라쥬 모습
4 실제 모델과 사진을 합성하여 비교해볼 수 있도록 만드는 방법
이 모든 설계 과정을 정리한 포스터(판넬)를 만들어서 교수님들께 최종 발표를 하고, 최종 평가를 받는 것으로 하나의 프로젝트가 마무리됩니다. 주로 건축학과 건물 복도에서 큰 판넬들을 쭉 전시해 놓고, 다른 친구들과 함께 서로의 작품을 감상하면서 교수님들의 평가를 들을 수 있습니다. 이 과정에서 다른 친구들의 작품을 보고 미처 생각하지 못한 부분에서 새로운 영감을 떠올리게 되는 등 많은 자극을 받을 수 있습니다.
그림 6. 판넬을 이용해 최종 평가를 받는 모습
이렇게 건축물이 설계되는 전체 과정을 같이 보았는데요. 건축학과에서는 설계의 디테일에 필요한 디자인 방법, 구조 계획, 시공 방법, 환경 구조 등도 다른 전공과목들을 통해 배워서 직접 스튜디오 수업에 적용한답니다. 예를 들어 건물을 직접 디자인하고, 렌더링5 하는 과정은 ‘건축과 컴퓨터’라는 수업에서 전문적으로 배우고, 건물의 채광, 환기, 열 교환 등 여러 요소들을 고려하는 방법은 ‘건축환경계획’이라는 과목에서 전문적으로 배우게 됩니다. 그러면 각 과목에서 구체적으로 어떤 내용들을 배우는지 함께 살펴볼까요?
5 컴퓨터 프로그램을 사용하여 모델들을 실제 사물처럼 이미지화하는 과정
2. 건축과 컴퓨터
1학년 1학기에 듣게 되는 건축과 컴퓨터 수업에서는 앞서 말했던 Rhino3D툴과 일러스트레이터 툴을 중심적으로 배우게 됩니다. 건축에서는 사람들과 소통하는 것이 매우 중요한데, 모델링은 다른 사람들과 소통할 수 있는 수단이므로 다양한 방법으로 모델링해서 스스로의 생각을 자유롭게 표현하는 것이 아주 중요합니다.
1학년 1학기에 듣게 되는 건축과 컴퓨터 수업에서는 앞서 말했던 Rhino3D툴과 일러스트레이터 툴을 중심적으로 배우게 됩니다. 건축에서는 사람들과 소통하는 것이 매우 중요한데, 모델링은 다른 사람들과 소통할 수 있는 수단이므로 다양한 방법으로 모델링해서 스스로의 생각을 자유롭게 표현하는 것이 아주 중요합니다.
그림 7. Rhino3D의 인터페이스
이 수업에서는 3차원 툴을 사용해서 기본적인 입체도형을 자신의 컨셉에 맞게 가공하는 방법을 배우게 됩니다. 다양한 명령어들을 사용해서 단순한 직육면체를 그림 8과 같은 복잡한 모양의 철제 의자로 만들 수 있습니다. 모델링을 한 뒤, 실제 의자처럼 보이도록 목재의 특성을 적용하는 작업을 하고, 최종 렌더링까지 진행하면 3D 모델링을 완성할 수 있습니다.
그림 8. 렌더링한 Wassily Chair
뿐만 아니라 작은 가구들부터, 방 전체, 건물 전체를 모델링하는 과정을 순차적으로 배우게 됩니다. 모델링, 재질 적용, 렌더링까지의 과정이 마치 영화의 한 장면을 직접 만드는 것 같아 개인적으로는 정말 흥미로웠던 수업이에요.
그림 9. 렌더링한 부엌과 집 모습
이러한 과정을 바탕으로 일러스트레이터나 포토샵, 스케치업과 같은 프로그램들을 연동시켜 최종 결과물을 만들어내게 됩니다. 이 수업에서 배운 기초 디자인 방법들을 가지고, 학생들은 자신의 생각을 자유롭게 표현하는 방법을 배우게 됩니다. 실제로 나중에 취업을 한 뒤에도, 실무에서 이와 같은 프로그램을 기반으로 작업을 하게 되기 때문에 건축학과 학생들은 입학부터 졸업 후까지 다양한 툴들을 능숙하게 다루게 된답니다.
3. 건축환경계획
건축학과에서는 건축구조의 공학적 측면도 공부하고 있는데요. ‘건축구조시스템’, ‘건축환경계획’과 같은 과목에서는 건축물에 숨은 역학적 원리를 분석하고, 물리학적 특성을 계산하는 방법을 배웁니다. 그 중에서 2학년 1학기에 배우는 전공필수 과목인 ‘건축환경계획’에서는 어떠한 내용을 배우는지 한 번 같이 알아볼까요?
이 수업에서는 건축 설계를 할 때 영향을 미치는 주변 요소들인 채광, 환기, 열 교환, 소음, 에너지 등을 공학적으로 계산하고, 건축물 내에서 요소들이 어떻게 작용되는지에 대해서 배웁니다. 그 중 건축물에서 중요하게 다뤄지는 요소 중 단열에 관하여 설명을 해보려고 합니다.
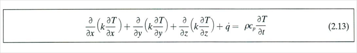
건축에서는 실내와 실외의 온도 조절이 아주 중요하기 때문에, 벽체와 바닥재를 만들 때 단열재를 사용하여 열 전달율을 조절합니다. 효율적인 단열을 위해 한 종류의 단열재만 사용하지 않고 다양한 단열재를 사용하기도 하는데, 이때 사용하는 방정식이 열 확산 방정식입니다.
건축학과에서는 건축구조의 공학적 측면도 공부하고 있는데요. ‘건축구조시스템’, ‘건축환경계획’과 같은 과목에서는 건축물에 숨은 역학적 원리를 분석하고, 물리학적 특성을 계산하는 방법을 배웁니다. 그 중에서 2학년 1학기에 배우는 전공필수 과목인 ‘건축환경계획’에서는 어떠한 내용을 배우는지 한 번 같이 알아볼까요?
이 수업에서는 건축 설계를 할 때 영향을 미치는 주변 요소들인 채광, 환기, 열 교환, 소음, 에너지 등을 공학적으로 계산하고, 건축물 내에서 요소들이 어떻게 작용되는지에 대해서 배웁니다. 그 중 건축물에서 중요하게 다뤄지는 요소 중 단열에 관하여 설명을 해보려고 합니다.
건축에서는 실내와 실외의 온도 조절이 아주 중요하기 때문에, 벽체와 바닥재를 만들 때 단열재를 사용하여 열 전달율을 조절합니다. 효율적인 단열을 위해 한 종류의 단열재만 사용하지 않고 다양한 단열재를 사용하기도 하는데, 이때 사용하는 방정식이 열 확산 방정식입니다.
그림 10. 3차원 내부상태의 전도 열 확산 방정식
열전달 방향에 따라서 x, y, z축 기준, 3차원으로 에너지 발생량을 따지게 되는데요. 이를 통해 단열재 속에서의 시간에 따른 온도 변화율을 측정하게 됩니다. 이렇게 열 전달율로 다른 재료의 단열재들 사이에서 온도가 어떻게 변하는지 계산하여 열 손실을 최대한 줄이게 됩니다.
그림 11. 벽체의 열전달 저항
전기회로의 저항과 유사하게, 벽체의 두께와 재료에 따라서 결정되는 열전달 저항이라는 물리량으로 각 재료의 열전달 특성을 나타낼 수 있습니다. 전기 저항을 계산하는 것처럼, 열전달 저항도 계산할 수 있으며, 이를 통해 다른 공간 사이의 온도 변화를 예측할 수 있습니다. 겨울철에 실내의 열이 바깥으로 잘 빠져나갈 수 없게 하는 방법과, 여름철에 바깥의 더운 열기를 차단하는 방법에도 이를 적용시킬 수 있답니다. 그 외에도 실내외의 습도를 조절하여 결로6가 생기지 않게 하는 방법, 창과 지붕의 모양과 일조량 간의 관계로부터 채광량을 분석하는 방법 등을 배울 수 있습니다. 건축물에서 이러한 역학적인 계산과 물리학적인 해석은 건축물의 설계∙디자인과 더불어 사람들의 실생활과 밀접해 있는 중요한 분야이기 때문에 3, 4학년이 되면 더욱 자세하게 배울 수 있습니다.
건축학과는 이렇게 공학부터 예술, 인문학에 이르기까지 다양한 분야를 폭 넓게 배우기 때문에 아주 매력적인 학과입니다. 건축학과 학생들은 건축물과 공간에 대해서 끊임없이 공부하면서 한 명의 훌륭한 건축가로 성장할 수 있답니다. 이번 기회를 통해 여러분도 스튜디오 수업과 다른 전공과목들을 간접적으로 체험해보면서 건축학과에 대해서 더욱 깊게 알게 되는 시간이 되셨으면 좋겠습니다!
건축학과는 이렇게 공학부터 예술, 인문학에 이르기까지 다양한 분야를 폭 넓게 배우기 때문에 아주 매력적인 학과입니다. 건축학과 학생들은 건축물과 공간에 대해서 끊임없이 공부하면서 한 명의 훌륭한 건축가로 성장할 수 있답니다. 이번 기회를 통해 여러분도 스튜디오 수업과 다른 전공과목들을 간접적으로 체험해보면서 건축학과에 대해서 더욱 깊게 알게 되는 시간이 되셨으면 좋겠습니다!
6 포화 수증기압보다 현재의 수증기압이 높아질 때, 물체 표면에 물이 응결되어 맺히는 현상으로 실내의 습도가 높고, 실내외 기온차가 높을 경우 잘 생기는 현상이다.
- 참고문헌
-
-
[1] Jan F. Kreider, et al., Heating and cooling of buildings(2nd edition), McGraw-Hill, 2002.
- 그림출처
-
그림 1~9. 직접 제작
그림11. Jan F. Kreider, et al., Heating and cooling of buildings(2nd edition), McGraw-Hill, 2002
