그림 1. 맛있는 크림빵, 출처: Pixabay
여러분들이 한 빵집의 사장이라고 가정해봅시다. 이 빵집에서는 인기 메뉴인 맛있는 크림빵을공장에 주문하여 창고에 보관해 두었다가 판매합니다. 이번 달에 크림빵을 총 5,000개 판매할 예정입니다. 그런데 한번에 크림빵을 많이 주문하든, 적게 주문하든 상관없이 일정한 운송비, 즉 1회 주문 비용이 든다고 합니다. 또한, 크림빵은 온도에 민감하기 때문에 냉동창고에 잘 저장해야 하는데, 한꺼번에 많이 저장할수록 효율이 떨어져 전기료가 더 많이 나간다고 합니다. 이때, 여러분들은 재고 주문에 대한 양 극단의 방법을 생각해볼 수 있습니다. 하나는 주문 횟수를 줄여서 한 번에 5,000개의 크림빵을 주문하는 방식으로, 이 경우 총 주문 비용은 감소하지만 냉장고의 전기료, 즉 재고유지비용이 증가한다는 단점이 있습니다. 다른 하나는 주문 횟수를 늘려 한 달에 여러 번 크림빵을 나눠서 주문하는 방식으로, 이렇게 주문하는 경우 재고유지비용은 줄지만, 총 주문 비용이 증가하게 됩니다. 여러분들은 사장으로서 어떤 결정을 내릴 수 있을까요? 총 주문 비용과 재고유지비용을 모두 줄일 수 있는 최적의 방법은 없을까요? 이렇게 의사결정의 기로에 서 있는 여러분들을 위해 재고관리 분야에서는 다양한 기법과 모델들을 연구하며 얼마만큼의 재고를 주문하는 것이 최적인지를 모색하고 있습니다.
오늘은 이 재고관리 영역에서 결코 빠지지 않고 등장하는 모델인 경제적 주문량 모델(EOQ: Economic Order Quantity)에 대해 쉽게 알아보도록 하겠습니다! 경제적 주문량 모델(EOQ)은 Ford Whitman Harris(이하 해리스)가 1900년대에 개발해 100년이 넘은 지금까지 유용하게 사용되는 개념입니다.
첫 번째로, EOQ 모델은 몇 가지 가정을 전제로 합니다.
■ EOQ 모델의 가정
① 해당 품목에 대한 수요를 알고 있으며, 일정하다.
단일 품목을 대상으로 일정한 수요율을 갖고 있다고 가정해 연간 수요량을 확정할 수 있다는 점을 모델의 전제로 합니다. 또한 수요는 연중 균일하게 발생하고 재고유지비용은 주문량에 비례하며 증가한다고 가정합니다. 마치 크림빵의 개수가 증가할수록 전기료가 많이 나가서 재고유지비용이 증가하는 것과 같다고 생각할 수 있습니다.
② 주문 비용과 재고유지비용은 관련된 모든 비용을 포함하고 있으며 일정하다.
주문 비용은 물품의 주문, 구매, 조달과 관련하여 발생하는 비용을 말합니다. 여기엔 제품의 가격과 거래처에 대해 조사하는 데 드는 비용, 수송비, 하역비, 통관료, 검사 시험비 등 자잘한 것들을 모두 포함하는 비용입니다. 그리고 재고유지비용은 위에서 언급한 냉장고 전기료처럼 재고를 보관하고 유지하는데 발생하는 비용을 의미합니다. 창고의 임대료, 유지경비, 보관료 그리고 도난과 변질 등으로 발생한 손실비용까지 포함합니다.
③ 주문품의 도착 시간이 고정되어 조달 기간이 일정하다.
④ 구매가격과 구매량은 일정하다.
규모의 경제1에 의해 대량 구매를 하면 할인이 되는 등의 구매가격 변동은 없다고 가정합니다. 또한 품절이 발생하지 않아 모든 주문이 지연 없이 수행되어 재고 부족 현상이 발생하지 않는다는 전제를 바탕으로 합니다.
⑤ 해당 상품의 주문은 다른 상품의 주문과는 무관하다.
이러한 제한된 모델에서는 수요를 정확하게 알 수 있고 재고 부족 비용2은 고려하지 않으므로 재고와 관련된 총비용은 총 주문 비용과 재고유지비용으로 한정시킬 수 있습니다. 따라서 다음과 같은 식이 성립합니다.
첫 번째로, EOQ 모델은 몇 가지 가정을 전제로 합니다.
■ EOQ 모델의 가정
① 해당 품목에 대한 수요를 알고 있으며, 일정하다.
단일 품목을 대상으로 일정한 수요율을 갖고 있다고 가정해 연간 수요량을 확정할 수 있다는 점을 모델의 전제로 합니다. 또한 수요는 연중 균일하게 발생하고 재고유지비용은 주문량에 비례하며 증가한다고 가정합니다. 마치 크림빵의 개수가 증가할수록 전기료가 많이 나가서 재고유지비용이 증가하는 것과 같다고 생각할 수 있습니다.
② 주문 비용과 재고유지비용은 관련된 모든 비용을 포함하고 있으며 일정하다.
주문 비용은 물품의 주문, 구매, 조달과 관련하여 발생하는 비용을 말합니다. 여기엔 제품의 가격과 거래처에 대해 조사하는 데 드는 비용, 수송비, 하역비, 통관료, 검사 시험비 등 자잘한 것들을 모두 포함하는 비용입니다. 그리고 재고유지비용은 위에서 언급한 냉장고 전기료처럼 재고를 보관하고 유지하는데 발생하는 비용을 의미합니다. 창고의 임대료, 유지경비, 보관료 그리고 도난과 변질 등으로 발생한 손실비용까지 포함합니다.
③ 주문품의 도착 시간이 고정되어 조달 기간이 일정하다.
④ 구매가격과 구매량은 일정하다.
규모의 경제1에 의해 대량 구매를 하면 할인이 되는 등의 구매가격 변동은 없다고 가정합니다. 또한 품절이 발생하지 않아 모든 주문이 지연 없이 수행되어 재고 부족 현상이 발생하지 않는다는 전제를 바탕으로 합니다.
⑤ 해당 상품의 주문은 다른 상품의 주문과는 무관하다.
이러한 제한된 모델에서는 수요를 정확하게 알 수 있고 재고 부족 비용2은 고려하지 않으므로 재고와 관련된 총비용은 총 주문 비용과 재고유지비용으로 한정시킬 수 있습니다. 따라서 다음과 같은 식이 성립합니다.
우리는 이 총비용을 최소화하기 위한 주문량을 최적의 주문량(경제적 주문량)이라고 하며 이것을 구하기 위해 총 주문 비용과 재고유지비용의 식들을 세워 총비용의 최소값을 구할 것입니다.
1 생산 조직이나 생산의 규모가 커질수록 생산과 판매를 위한 비용이 줄어드는 경우 이를 규모의 경제라고 한다.
2 수요자의 구매 요구가 있음에도 불구하고 재고가 부족하여 판매하지 못함으로써 발생되는 모든 손실
■ 총 주문 비용
이 상황에서는 수요를 정확히 할 수 있기 때문에 전체 주문량은 수요량으로 정해져 있습니다. 전체 주문량(즉, 수요량)은 1회 주문량 × 주문 횟수이기 때문에, 주문 횟수 = 수요량 / 1회 주문량이라고 볼 수 있습니다. 예를 들어, 크림빵의 수요가 5,000개이기 때문에 전체 5,000개를 주문한다고 할 때 한 번에 500개를 주문한다고 하면 총 10회를 주문한다고 생각할 수 있습니다. 총 주문 비용의 경우, 1회 주문 비용 × 주문 횟수가 되므로 이를 정리하면 다음과 같습니다.
이 상황에서는 수요를 정확히 할 수 있기 때문에 전체 주문량은 수요량으로 정해져 있습니다. 전체 주문량(즉, 수요량)은 1회 주문량 × 주문 횟수이기 때문에, 주문 횟수 = 수요량 / 1회 주문량이라고 볼 수 있습니다. 예를 들어, 크림빵의 수요가 5,000개이기 때문에 전체 5,000개를 주문한다고 할 때 한 번에 500개를 주문한다고 하면 총 10회를 주문한다고 생각할 수 있습니다. 총 주문 비용의 경우, 1회 주문 비용 × 주문 횟수가 되므로 이를 정리하면 다음과 같습니다.
■ 재고유지비용
그림2. 시간에 따른 재고의 양 변화 그래프
재고유지비용은 평균 재고량 × 단위당 재고유지비용이라고 볼 수 있습니다. 1회 주문을 하게 되면 1회 주문량만큼 재고가 늘어나고, 그림 1과 같이 고객의 주문으로 재고의 양은 점차 줄어들게 됩니다. 따라서 평균 재고량은 1회 주문량에 절반을 한 값과 같습니다. 이를 정리하면 다음과 같습니다.
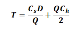
■ 총비용 (T)
총비용은 총 주문 비용과 재고유지비용을 합한 값이므로 위에서 구한 식들을 합해보면
총비용은 총 주문 비용과 재고유지비용을 합한 값이므로 위에서 구한 식들을 합해보면
위와 같이 정리됩니다. 이 식에서 Cs(1회 주문 비용)과 D(수요량), 그리고 Ch(단위당 재고유지비용)은 모두 일정한 값이므로, 총비용 T는 Q(1회 주문량)에 관한 식으로 정의됨을 알 수 있습니다.
자, 우리의 목적은 바로 총비용(T)를 최소화하는 적정 1회 주문량(Q)를 찾는 것이죠! 총 비용에 대한 그래프를 나타내면 아래와 같습니다.
자, 우리의 목적은 바로 총비용(T)를 최소화하는 적정 1회 주문량(Q)를 찾는 것이죠! 총 비용에 대한 그래프를 나타내면 아래와 같습니다.
그림3. 1회 주문량을 x축으로 하고 비용을 y축으로 하는 그래프, 총 주문 비용 그래프와 재고유지비용 그래프와 총 비용 그래프를 같이 그림. 출처: Harris, Ford W.. “How Many Parts to Make at Once.” Oper. Res. 38 (1990): 947-950.
총 주문 비용은 1회 주문량에 반비례하므로 이를 나타낸 그래프는 우하향하는 그래프이며, 직선으로 우상향하고 있는 그래프가 주문량에 비례하는 재고유지비용 그래프입니다. 이 둘을 합친 총비용의 그래프가 가장 위쪽에 나타나는 아래로 볼록한 개형의 그래프입니다. 이때, 총비용이 최소인 ★점의 x좌표가 바로 최적의 주문량인 적정 1회 주문량입니다. 그래프와 식에서 알 수 있듯이 T는 Q > 0 범위에서 연속 함수이며 미분 가능하므로 T를 미분해 함수의 기울기가 0인 곳을 찾으면 극소점, 즉 여기서는 비용이 최소인 점을 구할 수 있습니다.
따라서 기울기가 0이 되게 하는 Q는$\sqrt{\frac{2C_sD }{\ C_h}}$이라는 것을 알 수 있습니다. 결론적으로, 총비용이 최소인 ★점의 x좌표가 $\sqrt{\frac{2C_sD }{\ C_h}}$ 이며, 이는 총 주문 비용과 재고유지비용이 같을 때의 x좌표와 같음 또한 확인할 수 있습니다.
그럼 마지막으로 다시 빵집 사장의 입장으로 돌아가서, 최적의 결정을 내려볼까요? 이번 달 크림빵의 수요는 5,000개이며, 단위당 재고유지비용은 20원, 1회 주문 비용은 2,000원이라고 가정할 때 최적의 1회 주문량을 구해봅시다.
그럼 마지막으로 다시 빵집 사장의 입장으로 돌아가서, 최적의 결정을 내려볼까요? 이번 달 크림빵의 수요는 5,000개이며, 단위당 재고유지비용은 20원, 1회 주문 비용은 2,000원이라고 가정할 때 최적의 1회 주문량을 구해봅시다.
따라서 최적의 1회 주문량은 1,000개이며, 이번 달에 총 5,000개를 주문해야 하므로 5번에 나누어 각 1,000개씩 주문하면 될 것입니다.
다만, 이 경제적 주문량 모델의 경우 앞서 많은 전제 조건을 필요로 했던 것에서 알 수 있듯이 제약 요인이 많아 현실에서는 적용하기에 무리가 있기도 합니다. 따라서 제약 요인을 하나씩 없애며 현실에서도 적용할 수 있도록 EOQ를 변형한 모델들도 있다고 합니다. 가령 ③번 전제인 ‘주문품의 도착시간이 고정되어 조달 기간이 일정하다.’가 성립하지 못하는 경우에 사용하는 Non-instantaneous 모델이 있으며 ④번 전제의 ‘구매가격은 일정하다.’와 달리 대량 구매로 할인이 되는 경우엔 총 주문 비용 곡선이 할인에 따라 끊어져서 그려지는 모델이 있습니다.
다만, 이 경제적 주문량 모델의 경우 앞서 많은 전제 조건을 필요로 했던 것에서 알 수 있듯이 제약 요인이 많아 현실에서는 적용하기에 무리가 있기도 합니다. 따라서 제약 요인을 하나씩 없애며 현실에서도 적용할 수 있도록 EOQ를 변형한 모델들도 있다고 합니다. 가령 ③번 전제인 ‘주문품의 도착시간이 고정되어 조달 기간이 일정하다.’가 성립하지 못하는 경우에 사용하는 Non-instantaneous 모델이 있으며 ④번 전제의 ‘구매가격은 일정하다.’와 달리 대량 구매로 할인이 되는 경우엔 총 주문 비용 곡선이 할인에 따라 끊어져서 그려지는 모델이 있습니다.
그림4. 일반적인 EOQ 모델(초록선)과 끊어져 보이는 대량 구매 할인을 고려한 EOQ 모델(파란선)
이번 기사에서는 재고관리 분야에서 빼놓을 수 없는 경제적 주문량 모델 중 가장 기본적인 모델에 대해 알아보았습니다. 고등학교에서 배우는 미적분의 내용으로 총비용을 최소화하는 주문량을 구할 수 있어서 여러분들도 흥미롭게 읽으셨을 것 같은데요, 위의 크림빵 예시와 비슷한 문제들을 직접 만들고 풀어보며 다양한 상황을 생각해 보면 어떨까요? 또, 기본 모델의 전제에서 벗어난 상황의 모델들이 궁금하다면 직접 찾아보아도 좋을 것 같습니다!
- 참고문헌
-
- Harris, Ford W.. “How Many Parts to Make at Once.” Oper. Res. 38 (1990): 947-950./
- Tiffanie Marie Toles. “An investigation of the economic order quantity model with quantity discounts under an environmental objective” MASTER OF SCIENCE IN ENGINEERING MANAGEMENT. (2018): 25.
