지난 7월, 뉴스를 통해 보도된 ‘하늘을 나는 자동차’를 기억하시나요? 숨어 있던 날개를 천천히 펼치며 자동차가 비행기로 변신하는 모습은, 마치 공상과학 영화의 한 장면처럼 놀라웠습니다. 항공우주공학과의 ‘비행체 제어원리’ 교과목은 이와 같은 비행 자동차를 비롯해 비행기, 드론, 발사체 등 하늘을 나는 물체들을 정교하게 제어하기 위해 필수적으로 배우는 과목입니다. 다양한 비행체에 대해 연구하는 항공우주공학과의 특성상, 이 교과목은 ‘비행동역학 및 제어’1 를 비롯한 여러 심화과목을 공부하기 위한 기초가 되는 수업이기도 합니다. 그렇다면 비행체 제어원리 수업을 통해 어떤 것들을 배우게 되는지 함께 살펴볼까요?
이 교과목에서 가장 핵심적인 개념은 ‘피드백 제어’이며, 이는 비행체가 공중에서 사고 없이 정교하게 비행하는 데 있어 매우 중요합니다. 하늘을 날고 있는 드론을 함께 상상해볼까요? 드론이 정지 비행을 하며 공중에 가만히 떠 있다고 생각해봅시다. 이 때, 갑자기 오른쪽으로 바람이 불면 드론은 어떻게 될까요? 네, 바람을 따라 오른쪽으로 밀려날 것입니다. 따라서 드론이 바람에도 제자리를 지키며 정지 비행을 하기 위해서는, 바람의 방향과 풍속2 에 대한 ‘측정’을 바탕으로 각 모터의 출력을 적절하게 ‘제어’해주어야 합니다. 드론이 시시각각 변화하는 바람에 대응하는 것처럼, 어떤 시스템이 측정과 제어를 인과적으로 반복하는 것을 피드백 제어라고 합니다. 비행체 제어원리 교과목에서는 피드백 제어를 동적 시스템 모델링, 안정성 및 수렴 과정 분석, 그리고 제어기 설계라는 세 가지 틀에 맞추어 공부하게 됩니다.
1비행동역학 및 제어. ‘비행체 제어원리’를 통해 학습한 기본적인 제어를 바탕으로, 항공기를 위한 비행제어 시스템을 설계하는 과목.
2보통은 바람을 측정하는 대신 가속도 센서나 자이로 센서를 이용하지만, 설명의 편의를 위해 이와 같이 서술.
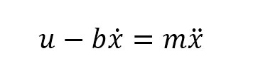
첫 번째로 동적 시스템 모델링에 대해 살펴볼까요? 동적 시스템 모델링을 통해, 우리는 여러 가지 물리 시스템을 수학적으로 설명할 수 있습니다. 예컨대 일정한 힘 u를 갖는 엔진이 달린 자동차를 생각해봅시다. 공기저항 계수를 b라고 할 때, 자동차의 운동방정식은 (엔진의 힘)+(공기저항)=(합력) 이므로 (1)과 같이 쓸 수 있습니다.3

이 때 자동차의 속도를 y로 놓으면, 미분방정식 (2)를 세워 시간에 대한 자동차의 속도 y(t)를 구할 수 있습니다.

그런데 만약 엔진의 힘 u가 일정하지 않고 시간에 따라 달라진다면 어떻게 해야 할까요? 다양한 물리 시스템을 효과적으로 나타내기 위해서, 우리는 연속적인 입력을 첫 0.1초, 그 다음 0.1초, 또 그 다음 0.1초 등과 같이 매우 짧은 시간 동안 발생하는 힘(충격력)들의 합으로 표현합니다. “미소 구간에 대한 값들의 합”이라니, 혹시 눈치채셨나요? 네, 바로 적분이 사용됩니다. 정확히는 충격응답 h와 입력 u의 “합성곱”을 이용해 (3)과 같이 출력 y를 나타냅니다.

위 식은 “공학수학” 교과목에서 배우는 “라플라스 변환”을 이용하면 간단히 정리됩니다.

따라서 (4)에서와 같이 “전달함수” H(s)를 이용하면, 입력과 출력의 라플라스 변환 U(s)와 Y(s) 사이의 비를 표현할 수 있습니다. 마치 자동차 엑셀을 밟으면(입력) 가속되고(출력), 브레이크를 밟으면(입력) 감속되는(출력) 것처럼 시스템의 입력과 출력 간의 관계를 간단히 나타낼 수 있기 때문에, 전달함수는 피드백 제어 전반에서 매우 중요한 수학적 기반이 됩니다. 이처럼 동적 시스템 모델링 단원에서는 다양한 물리 시스템을 수학적으로 나타내고, 라플라스 변환을 이용해 그 해를 구하는 방법을 학습합니다.
3엔진에 의한 추진력을 (+)방향으로 둘 때, 공기저항은 그와 반대인 (–)방향으로 작용. 따라서 두 벡터의 합을 구할 때, 추진력(+)과 공기저항(-)의 부호는 반대가 됨.
두 번째로, 비행체 제어원리 교과목에서는 시스템의 안정도와 해의 수렴 과정을 분석하는 방법을 배웁니다. 과목 특성상 특정한 값에 수렴하는 문제를 다루는 경우가 많기 때문에, 해의 수렴 여부 또한 중요하게 다뤄집니다. 구체적으로는 해의 수렴 값을 계산하기 위한 라플라스 변환의 최종값 정리4 , 수렴의 특성을 나타내는 상승시간5 ·정착시간6 ·오버슈트7 ·최고시간8 등의 지표들, 그리고 시스템의 안정도를 파악하는 방법 등을 알아갑니다. 간단한 예시와 함께, Routh 배열을 이용하여 다항식의 안정도를 함께 파악해 볼까요?

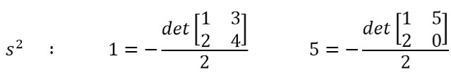
위와 같은 4차 다항식을 생각해봅시다. 높은 차수의 항부터 내림차순으로, 각 항의 계수인 1, 2, 3, 4, 5를 다음과 같이 배열할 수 있습니다.

이제 규칙에 따라 행 s2, s1, s0을 채워야 합니다. s3의 첫 번째 항이 2라는 것을 확인하셨나요? 2는 분모로 두고, 분자에는 s4와 s3의 값들로 이루어진 행렬식9 을 두고 계산하면 (6)과 같이 s2를 구할 수 있습니다.

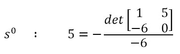
비슷하게, s1을 구하기 위해 s2의 첫 번째 항 1을 확인해줍니다. 이번에는 s3와 s2의 값들로 이루어진 행렬식을 분자에 두고 계산합니다.

마지막으로 s0을 구해줍니다.

따라서 s4부터 s0까지의 모든 행을 정리해 보면 다음과 같습니다.

이것이 Routh 배열이고, 이를 이용해 주어진 다항식 a(s) 의 안정도를 판단할 수 있습니다. 각 항의 첫 번째 요소들의 값이 모두 양수이면, 시스템은 안정합니다. 그렇다면 위의 예시에 대해서는 어떻게 판단할 수 있을까요? s1 의 첫 번째 요소가 음수(-6)이기 때문에, 안정하지 않다는 것을 쉽게 확인할 수 있습니다.

동적 시스템 모델링과, 안정성 및 수렴 과정을 분석하는 방법을 배우고 나면 여러 제어 해석 기법을 이용해 실제 제어기를 설계하는 방법을 배웁니다. 피드백 제어 과정에서, 제어기는 측정된 입력 값을 바탕으로 적절한 제어 신호를 계산하는 장치입니다. 예컨대 정지 비행하는 드론에서 바람이 오른쪽으로 불고 있으니(입력) 왼쪽으로 추진력을 발생시킬 때(제어), 제어기는 각 모터의 출력을 얼마나 조절할지 계산하고 신호를 보내는 역할을 합니다. 그런데 각 모터의 성능이나 배터리 효율 등 다양한 인자(파라미터)에 따라 드론이 충분한 추진력을 받지 못하거나, 의도한 대로 비행하지 않는 문제가 발생할 수 있습니다. 따라서 좋은 제어기를 만들기 위해선 적절한 파라미터 설정이 필요합니다.

따라서 (9)와 같은 ‘특성방정식’을 사용하게 됩니다. 앞서 살펴본 ‘전달함수’를 기억하시나요? 전달함수 L(s)가 주어졌을 때, 파라미터 K 값의 변화에 따라 모든 가능한 근을 다음 예시와 같이 그릴 수 있습니다.

이것을 ‘근궤적법’이라고 부르고, 근궤적을 바탕으로 가장 적절한 파라미터 K의 값을 결정할 수 있습니다. 더 나아가, ‘Bode 선도’, ‘Nyquist 선도’ 등 다양한 기법을 배우면 ‘앞섬보상(lead compensation)’, ‘뒤짐보상(lag compensation)’ 과 같은 여러 제어기를 설계해 시스템이 목표지점에 더 빠르게 수렴하게 만들거나, 시스템의 정확도를 높일 수 있습니다. 이처럼 제어기를 적절히 활용해서, 우리가 목표하는 과정을 유도하는 방법을 배우게 됩니다.
비행체 제어원리 교과목에서는 제어기를 설계하는 데 필요한 여러 수학적, 물리적 기반과 함께 그 실제 과정을 골고루 다루게 됩니다. 단순히 물리 시스템을 모델링하는 것에 그치지 않고, 이를 응용해 직접 설계하는 기법에 대해서도 배운다는 점에서 응용학문으로서 공학의 특징을 잘 보여주는 과목이기도 합니다. 무엇보다 모델링, 안정성 분석, 제어기 설계 전반에 걸쳐 수학과 밀접한 관련을 맺고 있기 때문에, 수학에 관심이 많은 공학도라면 비행체 제어원리 교과목이 매력적으로 느껴질 것입니다. 여러분도 비행체 제어원리 교과목을 통해, 하늘을 나는 자동차를 비롯한 수많은 비행체의 안정적인 비행에 담긴 정교한 원리를 함께 발견해보시기 바랍니다.
- 참고문헌
- 1. Franklin, Gene F., J. David Powell, and Abbas Emami-Naeini. Feedback Control of Dynamic Systems. Trans. 이재원, et al. 역. Pearson, 2020. Print.
- 2. Kleinman, Zoe. "Flying Car Completes Test Flight between Airports." BBC News. BBC, 29 June 2021. Web. 22 July 2021.
